来源:基尔摩斯
今天是29日,距离2021年一季度结束还有2天,
今年一季度的A股走出了一个“n”字型,
沪指从1月的3400点涨到2月18日的3700点后一路又回调到3400点。
公募新发基金市场也从以前的多只基金一天售罄到多只基金延长募集期。
截至3月26日,今年成立的新基金有432只(不同份额分别统计),如今它们都怎样呢?
普遍看,涨少跌多。
涨幅在1%以上的只有20只,国泰医药健康股票C、创金合信数字经济主题股票A/C、中泰开阳价值优选混合C涨幅超5%。

数据来源:Choice,截至20210326
跌幅在10%以上的有49只。

数据来源:Choice,截至20210326
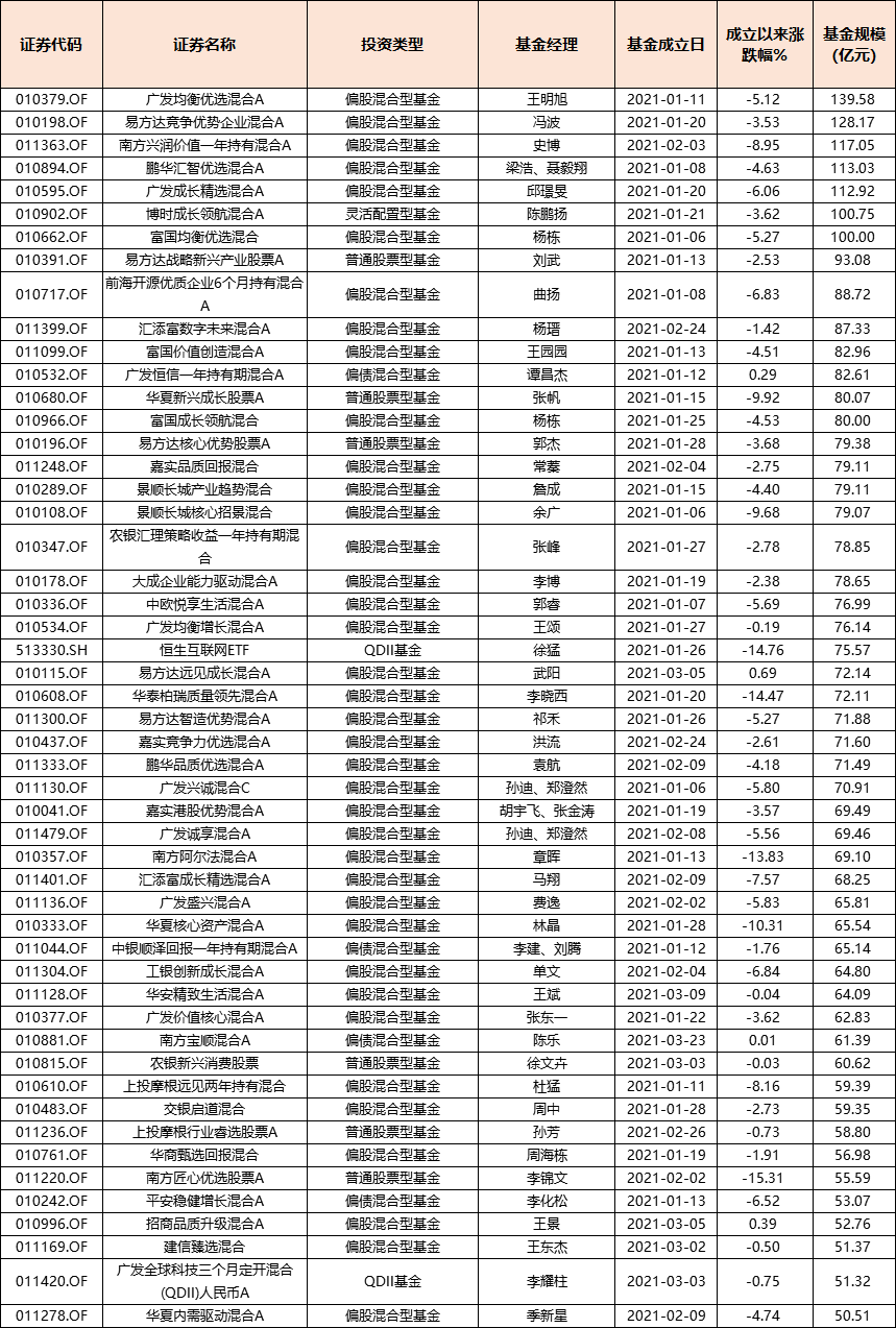
募集规模在50亿以上的主动权益基金,跌幅在前的分别是南方匠心优选股票A、华泰柏瑞质量领先混合A、南方阿尔法混合A、华夏核心资产混合A、华夏新兴成长股票A、景顺长城核心招景混合,幅度都在9%以上。

数据来源:Choice,截至20210326
总的看下来,回报为负是常态。










