内容概要
1
上周市场回顾
资金面:疫情影响下宽货币传导不顺畅,银行间流动性泛滥,资金利率继续维持在低位。具体来看上周资金市场情况:
(1)央行公开市场共有200亿元逆回购到期,累计进行了500亿元逆回购,因此净投放300亿元;
(2)资金价格方面,截至上周五收盘,DR001和R001收益率分别下降2BP和上涨3BP,分别收于1.31%和1.37%;DR007收益率下行10BP至1.55%,R007收益率下行20BP至1.63%。上周共发行同业存单710只,发行规模约6176.30亿元,净融资额为511.30亿元。截至上周五,AAA存单收益率继续下降,其中1M和9M存单收益率下降11BP至1.58%和2.23%;3M存单收益率下降18BP至2.85%;6M存单收益率下行15BP至2.05%;1Y期存单收益率下行9BP,收于2.30%。
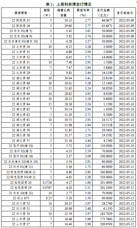
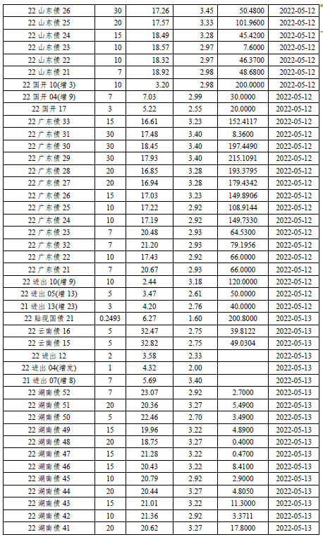
利率债:一级方面,上周利率债(含地方债)发行规模大幅回升,达到6,462.20亿元,净融资额也上升至4701.62亿元。上周政金债的投标情绪尚可,部分云南债和湖北债的超额认购倍数超过30倍;政金债的投标倍数小幅上升,7年国开债超额认购倍数超过7倍;国债投标热情较高,0.25Y的贴现国债投标倍数高达6.27倍,10Y国债的投标倍数达到4.99倍。
二级方面,上周宽松的资金面支持短端利率债收益率普遍下行,长端品种收益率在疫情和宽信用的扰动下窄幅震荡,最终小幅下行。具体来看,截至上周五收盘:
(1)国债方面,1Y、5Y和7Y国债收益率下行3-4BP不等;3Y国债收益率下行6BP;10Y国债收益率下行1BP,收于2.81%。
(2)政金债方面,1Y期国开债下行7BP,1Y口行债和农发债收益率均下行4BP;3-7Y期政金债收益率下行2-5BP不等;10Y政金债收益率均下行3BP,10Y国开债收于3.00%;
(3)期限利差方面,上周短端利率债表现略好,利差曲线走阔,国债10-1Y利差走阔2BP至80BP,国开10-1Y利差走阔4BP至92BP。
信用债:一级方面,由于年报季刚过,发行材料需要时间更新,上周信用债共发行664.03亿元,净融资为-468.37亿元,环比均大幅下降,结构上,产业债净融资-335.41亿元,城投债净融资-132.96亿元。另外,上周取消发1只债券,取消发行规模5亿元。二级方面,收益率全面下行为主,3年期中高等级品种表现相对较好。分结构看,城投债,3年期AA+和AA品种收益率下行幅度最大(8.25bp);产业债,3年期AAA-级品种收益率下行幅度最大(9.87bp)。
可转债:上周股指整体反弹,上证指数上涨2.76%,深证成指上涨3.24%,创业板指上涨5%;行业板块方面,汽车、电气设备及电子表现较好,上涨6%-8%,采掘、农林牧渔以及银行等行业表现较弱,下跌0%-1%。上周中证转债指数整体上涨1.6%,转债整体估值下降,转债转股溢价率整体下行3.98%,纯债溢价率上行1.8%,分类别看,各平价转债的转股溢价率涨跌互现。
2
策略展望
宏观及利率债方面,上周公布了多项重要数据,均显示疫情对经济的冲击较大。首先进出口数据方面,一方面受疫情影响,国内机电和高技术类商品的出口明显放缓,带动整个出口数据走弱;另一方面,俄乌冲突导致大豆、植物油、原油等大宗商品价格大涨,我国进口金额明显抬升,因此进口增速能与上月基本持平。短期来看,本轮疫情虽未完全消退,但港口运输、供应链、生产已在逐步恢复,出口受影响的程度也将逐步缓解,但从4月PMI新出口订单指数来看,5月出口情况并不乐观,经济增长压力依然较大。通胀方面,4月疫情和海外大宗价格高位震荡仍是影响国内通胀的主要因素,一方面疫情导致食品价格环比由降转升,另一方面大宗商品持续高位震荡也令PPI降幅不及市场预期。虽然4月PPI-CPI剪刀差在收窄,但是从核心CPI同比增速回落至0.9%、环比增速仅小幅上涨0.1%来看,内需偏弱的情况暂未好转,PPI向CPI的传导并不顺畅,中下游企业经营压力依然较大。最后是社融数据,4月居民端消费贷和房贷均大幅下降,反映消费低迷;企业新增中长贷金额也再次大幅转负,仍主要依靠票据冲量来维持信贷规模的增长。唯一的增长点是财政支出在加快,表明政府仍在努力通过基建托底经济。从目前M2-M1剪刀差持续走阔来看,流动性已经十分充裕,症结在于经济和内需疲弱,企业缺乏融资意愿,叠加疫情冲击,企业生产经营活力持续下降。在此背景下,央行也在数据公布后明确表态,要将稳增长放在更加突出的位置,并加大稳健货币政策的实施力度,积极主动谋划增量政策工具,因此宽松的流动性环境短期不会发生变化。对债市而言,经济数据疲弱叠加流动性宽松将对债市形成一定支撑,暂不必急于收缩防御;但在宽信用的预期下,下行空间有限,因此债市短期仍将维持区间震荡的走势。
资金面,央行宽货币态度依旧,预计资金价格仍在低位徘徊。
信用债方面,监管定调稳增长,在二十大之前信用环境预计维持宽松。
(1)城投债方面,城投债年报披露显示,2021年城投债再融资环境收紧,60%区域的城投公司货币资金增速下滑,城投债收益挖掘建议从结构分化中寻找机会:①优先配置经济财力较好区县级公益性中小平台;②投资政策支持明确、偿债压力高峰进入尾声或已度过、市场信心好转的区域;③有强担保的弱资质平台;④区县平台新发收紧后,强区县的转售机会。
(2)产业债方面,房地产,虽然上周民营地产仍波折不断,某房企美元债正式违约,但随着房企风险出清,以及地产政策积极托底,首套利率下限下调至LPR减点20bp,地产行业景气度有望触底回升,对于财务和经营稳健的地方国有或头部优质民营房企,可在控制估值风险的前提下考虑介入;煤炭,煤炭价格上周仍保持高位,目前煤企基本面不弱、融资能力较强,因此对于债务结构改善的煤企可以考虑继续拉长久期;其他困境反转板块,如火电,随着煤炭长协100%保量保价供应,火电盈利情况和稳定性有望得到改善。
转债方面,上周权益市场整体反弹,转股溢价率受股票市场上涨影响被动压缩,转债整体表现不如股票。疫情加速了宏观经济基本面见底,上市公司盈利预计三季度迎来拐点,美联储加息人民币贬值+俄乌冲突下的能源痛症高企+疫情仍然压制风险偏好,三个担忧至少有一个缓解,股市可能才会有一波反弹,目前最有可能看到的是疫情缓解,可以从这个方向去布局,同时美联储加息+俄乌冲突常态化,预计上游商品价格已经见顶,上游景气度见顶,下游盈利恢复链在下半年预计将逐步实现,后续行业结构上会更偏向中下游。
上周市场回顾
1. 资金面
疫情影响下宽货币传导不顺畅,银行间流动性泛滥,资金利率继续维持在低位。具体来看上周资金市场情况,(1)央行公开市场共有200亿元逆回购到期,累计进行了500亿元逆回购,因此净投放300亿元;(2)资金价格方面,截至上周五收盘,DR001和R001收益率分别下降2BP和上涨3BP,分别收于1.31%和1.37%;DR007收益率下行10BP至1.55%,R007收益率下行20BP至1.63%;Shibor3M收益率小幅下降5BP,收于2.16%。
上周共发行同业存单710只,发行规模约6176.30亿元,净融资额为511.30亿元。截至上周五,AAA存单收益率继续下降,其中1M和9M存单收益率下降11BP至1.58%和2.23%;3M存单收益率下降18BP至2.85%;6M存单收益率下行15BP至2.05%;1Y期存单收益率下行9BP,收于2.30%。

2. 利率债
一级市场:上周利率债(含地方债)发行规模大幅回升,达到6,462.20亿元,净融资额也上升至4701.62亿元。上周政金债的投标情绪尚可,部分云南债和湖北债的超额认购倍数超过30倍;政金债的投标倍数小幅上升,7年国开债超额认购倍数超过7倍;国债投标热情较高,0.25Y的贴现国债投标倍数高达6.27倍,10Y国债的投标倍数达到4.99倍。



二级市场:上周宽松的资金面支持短端利率债收益率普遍下行,长端品种收益率在疫情和宽信用的扰动下窄幅震荡,最终小幅下行。具体来看,截至上周五收盘,(1)国债方面,1Y、5Y和7Y国债收益率下行3-4BP不等;3Y国债收益率下行6BP;10Y国债收益率下行1BP,收于2.81%。(2)政金债方面,1Y期国开债下行7BP,1Y口行债和农发债收益率均下行4BP;3-7Y期政金债收益率下行2-5BP不等;10Y政金债收益率均下行3BP,10Y国开债收于3.00%;(3)期限利差方面,上周短端利率债表现略好,利差曲线走阔,国债10-1Y利差走阔2BP至80BP,国开10-1Y利差走阔4BP至92BP。

3. 信用债
一级市场:由于年报季刚过,发行材料需要时间更新,上周信用债共发行664.03亿元,环比大幅下降。信用债净融资为-468.37亿元,环比大幅下降,结构上,产业债净融资-335.41亿元,城投债净融资-132.96亿元。

上周取消发1只债券,取消发行规模5亿元。

二级市场:收益率全部下行,其中3年期中高等级品种表现最好,具体分析如下。
城投债方面,3年期AA+和AA品种收益率下行幅度最大(8.25bp);从区域利差来看,城投抱团明显,广东、安徽、湖北、四川、江苏、上海等12个省份信用利差处于历史前1/5分位数;而天津、青海、辽宁、云南等8个省份信用利差均处于历史后1/5分位数。

产业债方面,3年期AAA-级品种收益率下行幅度最大(9.87bp);从行业利差来看,纺织服装、轻工制造、农林牧渔和家用电器的行业信用利差显著偏高,且处于历史高分位数。

4. 可转债
股票方面:上周股指整体反弹,上证指数上涨2.76%,深证成指上涨3.24%,创业板指上涨5%;行业板块方面,汽车、电气设备及电子表现较好,上涨6%-8%,采掘、农林牧渔以及银行等行业表现较弱,下跌0%-1%。


转债方面:上周中证转债指数整体上涨1.6%,转债整体估值下降,转债转股溢价率整体下行3.98%,纯债溢价率上行1.8%,分类别看,各平价转债的转股溢价率涨跌互现。

5. 重点讯息
(1)央行发布一季度货币政策执行报告表示,下一阶段,稳健的货币政策加大对实体经济的支持力度,稳字当头,主动应对,提振信心,搞好跨周期调节,坚持不搞“大水漫灌”,发挥好货币政策工具的总量和结构双重功能。用好各类货币政策工具,保持流动性合理充裕,增强信贷总量增长的稳定性,保持货币供应量和社会融资规模增速同名义经济增速基本匹配,保持宏观杠杆率基本稳定。结构性货币政策工具积极做好“加法”,引导金融机构合理投放贷款,促进金融资源向重点领域、薄弱环节和受疫情影响严重的企业、行业倾斜。密切关注物价走势变化,支持粮食、能源生产保供,保持物价总体稳定。密切关注主要发达经济体货币政策调整,以我为主兼顾内外平衡。着力稳定宏观经济大盘,保持经济运行在合理区间。
(2)国家发改委等四部门明确2022年降成本重点工作,共8个方面26项任务,包括营造良好的货币金融环境、建立健全多层次资本市场、支持中小微企业加强汇率风险管理、加强重要原材料和初级产品保供稳价等。其中提出,完善民营企业债券融资支持机制,全面实行股票发行注册制,促进资本市场平稳健康发展;持续深化新三板改革,进一步提升直接融资服务能力。
(3)国务院常务会议要求财政货币政策以就业优先为导向,稳住经济大盘。会议强调,退减税、缓缴社保费、降融资成本等都着力指向稳市场主体稳岗稳就业,以保基本民生、稳增长、促消费。要确保物价稳定,确保粮食产量和供应稳定;确保能源供应,决不允许出现拉闸限电。对当前有困难的企业,给予住房公积金政策支持,年底前申请即可缓缴;职工未正常偿还公积金贷款,不作逾期处理。要抓紧研究养老保险费缓缴政策扩围、延长期限的措施。通过发行REITs等方式,盘活基础设施等存量资产,以拓宽社会投资渠道和扩大有效投资、降低政府债务风险。
(4)中国4月PPI、CPI“剪刀差”进一步收窄。据国家统计数据,受国内疫情及国际大宗商品价格持续上涨等因素影响,4月中国CPI同比上涨2.1%,为连续2个月涨幅扩大并创年内新高。扣除食品和能源价格的核心CPI同比上涨0.9%,涨幅比上月回落0.2个百分点,创10个月以来新低。4月PPI环比和同比涨幅均有所回落;其中,PPI同比上涨8%,比上月回落0.3个百分点,环比上涨0.6%,比上月回落0.5个百分点。
(5)中国4月金融数据出炉,M2同比增速扩大至10.5%,超出市场预期。新增人民币贷款6454亿元,社会融资规模增量为9102亿元,均较3月份数据大幅回落且远不及市场预期。4月末,社会融资规模存量为326.46万亿元,同比增长10.2%。央行有关负责人表示,4月人民币贷款增长明显放缓,同比少增较多,反映出近期疫情对实体经济的影响进一步显现,叠加要素短缺、原材料等生产成本上涨等因素,企业尤其是中小微企业经营困难增多,有效融资需求明显下降。1-4月企业贷款利率为4.39%,同比下降0.25个百分点,保持在有统计记录以来的低位。下一阶段将稳增长放在更加突出的位置,加大稳健货币政策的实施力度,更好发挥货币政策工具的总量和结构双重功能,加快落实已出台的政策措施,积极主动谋划增量政策工具,支持经济运行在合理区间。
(6)美联储主席鲍威尔表示,目标是让通胀重新得到控制;全球经济都在遭受通货膨胀的冲击;美国的通货膨胀太高了;允许高通胀意味着更严重的经济衰退。同时,鲍威尔重申未来2次会议上各加息50个基点是合理的,并且表示,实现软着陆是有一些途径的;FOMC坚定地致力于将通胀率降回2%;从事后来看,此前早点加息可能会更好。
(7)美国4月CPI涨幅回落,但仍超出市场预期,美联储大幅加息压力有增无减。美国劳工部公布数据显示,美国4月CPI同比上涨8.3%,较3月的8.5%涨幅有所回落,但仍高于市场预期的8.1%,并继续处于40年来高位附近。由于能源价格小幅回落,美国4月CPI环比上涨0.3%,涨幅较3月收窄0.9个百分点,但高于市场预期的0.2%。同时,美国4月份核心CPI同比上涨6.2%,环比上涨0.6%,涨幅也均高于市场预期。
(8)欧洲央行行长拉加德表示,欧洲央行将在今年第三季度初结束购债,随后数周内就会决定加息。她主张在首次加息后,货币政策正常化的过程是渐进的。欧洲央行自2011年以来一直维持利率不变,其存款利率自2014年以来一直为负。欧洲央行官员越来越多地预计年内会加息至零以上。知情人士称,管委会成员已朝7月份加息25个基点靠拢,而各个派系的官员也开始认为,在明年1月份以前至少进一步实行两次同样幅度的加息是合理的。
(9)受新冠疫情和俄乌冲突影响,德国4月通胀率升至7.4%,连续第二个月创下1990年两德统一后新高。4月能源价格同比上涨35.3%,显著高于当月整体通胀率。去除能源价格因素,当月通胀率为4.3%。
(10)法国央行表示,预计第二季度GDP将仅增长0.2%。今年年初,由于俄乌冲突爆发,企业在获得供应方面面临越来越大的困难,法国经济出现了停滞。
(11)日本央行3月货币政策会议纪要显示,尽管一些委员看到了日本低通胀环境出现变化的迹象,但决策者维持大规模刺激措施的决心仍毫不动摇。多数委员警告称,俄乌局势给日本经济带来的风险正在上升,从而抑制通胀上行。
策略展望
宏观及利率债方面,上周公布了多项重要数据,均显示疫情对经济的冲击较大。首先进出口数据方面,一方面受疫情影响,国内机电和高技术类商品的出口明显放缓,带动整个出口数据走弱;另一方面,俄乌冲突导致大豆、植物油、原油等大宗商品价格大涨,我国进口金额明显抬升,因此进口增速能与上月基本持平。短期来看,本轮疫情虽未完全消退,但港口运输、供应链、生产已在逐步恢复,出口受影响的程度也将逐步缓解,但从4月PMI新出口订单指数来看,5月出口情况并不乐观,经济增长压力依然较大。通胀方面,4月疫情和海外大宗价格高位震荡仍是影响国内通胀的主要因素,一方面疫情导致食品价格环比由降转升,另一方面大宗商品持续高位震荡也令PPI降幅不及市场预期。虽然4月PPI-CPI剪刀差在收窄,但是从核心CPI同比增速回落至0.9%、环比增速仅小幅上涨0.1%来看,内需偏弱的情况暂未好转,PPI向CPI的传导并不顺畅,中下游企业经营压力依然较大。最后是社融数据,4月居民端消费贷和房贷均大幅下降,反映消费低迷;企业新增中长贷金额也再次大幅转负,仍主要依靠票据冲量来维持信贷规模的增长。唯一的增长点是财政支出在加快,表明政府仍在努力通过基建托底经济。从目前M2-M1剪刀差持续走阔来看,流动性已经十分充裕,症结在于经济和内需疲弱,企业缺乏融资意愿,叠加疫情冲击,企业生产经营活力持续下降。在此背景下,央行也在数据公布后明确表态,要将稳增长放在更加突出的位置,并加大稳健货币政策的实施力度,积极主动谋划增量政策工具,因此宽松的流动性环境短期不会发生变化。对债市而言,经济数据疲弱叠加流动性宽松将对债市形成一定支撑,暂不必急于收缩防御;但在宽信用的预期下,下行空间有限,因此债市短期仍将维持区间震荡的走势。
资金面,央行宽货币态度依旧,预计资金价格仍在低位徘徊。
信用债方面,监管定调稳增长,在二十大之前信用环境预计维持宽松。(1)城投债方面,城投债年报披露显示,2021年城投债再融资环境收紧,60%区域的城投公司货币资金增速下滑,城投债收益挖掘建议从结构分化中寻找机会:①优先配置经济财力较好区县级公益性中小平台;②投资政策支持明确、偿债压力高峰进入尾声或已度过、市场信心好转的区域;③有强担保的弱资质平台;④区县平台新发收紧后,强区县的转售机会。(2)产业债方面,房地产,虽然上周民营地产仍波折不断,某房企美元债正式违约,但随着房企风险出清,以及地产政策积极托底,首套利率下限下调至LPR减点20bp,地产行业景气度有望触底回升,对于财务和经营稳健的地方国有或头部优质民营房企,可在控制估值风险的前提下考虑介入;煤炭,煤炭价格上周仍保持高位,目前煤企基本面不弱、融资能力较强,因此对于债务结构改善的煤企可以考虑继续拉长久期;其他困境反转板块,如火电,随着煤炭长协100%保量保价供应,火电盈利情况和稳定性有望得到改善。
转债方面,上周权益市场整体反弹,转股溢价率受股票市场上涨影响被动压缩,转债整体表现不如股票。疫情加速了宏观经济基本面见底,上市公司盈利预计三季度迎来拐点,美联储加息人民币贬值+俄乌冲突下的能源痛症高企+疫情仍然压制风险偏好,三个担忧至少有一个缓解,股市可能才会有一波反弹,目前最有可能看到的是疫情缓解,可以从这个方向去布局,同时美联储加息+俄乌冲突常态化,预计上游商品价格已经见顶,上游景气度见顶,下游盈利恢复链在下半年预计将逐步实现,后续行业结构上会更偏向中下游。
附件1:本周将公布的重要数据提示

附件2:本周利率债发行预告


附件3:本周信用债发行预告

风险提示:本报告中的信息均来源于已公开的资料,我公司对这些信息的准确性及完整性不作任何保证。在任何情况下,报告中的信息或所表达的意见并不构成证券买卖的出价或询价。在任何情况下,我公司不就报告中的任何投资做出任何形式担保。本报告内容和意见不构成投资建议,仅供参考,使用前请核实,风险自行承担。基金管理人承诺以诚实信用、勤勉尽职的原则管理和运用基金资产,但不保证基金本金不受损失,不保证基金一定盈利,也不保证最低收益。投资人购买基金时应详细阅读基金的基金合同、招募说明书和基金产品资料概要等法律文件,充分认识基金的风险收益特征和产品特性,并根据自身的投资目标、投资期限、投资经验、资产状况等因素选择与自身风险承受能力相匹配的产品。基金产品存在收益波动风险,基金管理人管理的其他基金的业绩和其投资管理人员取得的过往业绩并不预示其未来表现,也不构成基金业绩表现的保证。














