内容概要
01
上周市场回顾
资金面:上周资金价格在跨月前小幅抬升,随后重新回到低位徘徊。具体来看上周资金市场情况:
(1)央行公开市场共有500亿元逆回购到期,累计进行了400亿元逆回购操作,实现净回笼100亿元;
(2)资金价格方面,截至上周四收盘,DR001和R001收益率均上行6BP,分别收于1.42%和1.48%;DR007收益率下行4BP至1.63%,R007收益率下行21BP至1.67%。上周共发行同业存单294只,发行规模约1772.60亿元,净融资降幅缩窄至-228.10亿元。截至上周四,AAA存单收益率均呈上行趋势,其中1M存单收益率上行16BP;3M和6M存单收益率上行1BP,分别收于1.82%和1.99%;9M和1Y期存单收益率分别上行5BP和6BP,收于2.24%和2.33%。
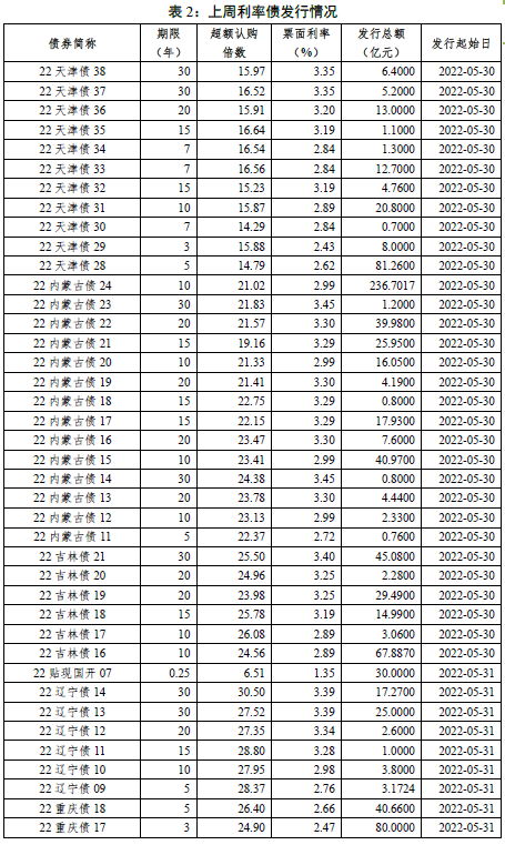
利率债:一级方面,上周利率债(含地方债)发行规模大幅下降,仅发行2750.10亿元,净融资额则下降至542.10亿元。上周的投标情绪尚可,地方债超额认购倍数大都在20-30倍上下;政金债的投标情绪一般,3Y和0.25Y国开债超额认购倍数超过6倍,10Y政金债品种投标倍数在2-3倍左右;上周没有国债发行。二级方面,上海、北京疫情好转,叠加多地推出地产、消费刺激政策,市场期待经济加速修复,空头情绪再占上风,中长端利率债收益率持续上行。具体来看,截至上周四收盘:
(1)国债方面,1Y-3Y国债收益率上行3BP;5-7Y国债收益率上行7BP;10Y国债收益率上行5BP,收于2.76%;
(2)政金债方面,1Y期国开债收益率持平,1Y口行债收益率上行3BP,1Y农发债收益率下行6BP;3Y-7Y期政金债收益率上行4-9BP不等;10Y政金债收益率上行5-6BP不等,10Y国开债收于2.99%;
(3)期限利差方面,上周长端利率债收益率上行幅度较大,利差曲线呈现熊陡,国债10-1Y利差走阔2BP至80BP,国开10-1Y利差走阔6BP至103BP。
信用债:一级方面,上周信用债共发行2862.85亿元,信用债净融资为378.78亿元,环比均小幅下降;结构上,产业债净融资42.13亿元,城投债净融资336.65亿元;上周取消发行2只债券,规模合计18亿元。
二级方面,信用债跟随利率债调整,中短期品种调整幅度更大;结构上,城投债,除3年期AA2级和3年AA-级收益率小幅下行,其他期限和品种收益率全部上行,1年期上行幅度最大,其中1年期AA级和AA2级品种收益率上行幅度最大(10.78bp);产业债,收益率全部上行,3年期品种上行最多,其中3年期AAA收益率上行幅度最大(10.53bp)。
可转债:上周股指整体上涨,上证指数上涨2.08%,深证成指上涨3.88%,创业板指上涨5.8%;行业板块方面,电气设备、汽车和计算机表现较好,上涨6%-8%,采掘、房地产以及建筑等行业表现较弱,下跌2%-4%。上周中证转债指数整体上涨0.3%,转债整体估值有所下行,转债转股溢价率整体下行3.44%,纯债溢价率上行0.13%,分类别看,各平价转债的转股溢价率涨跌互现。
02
策略展望
宏观及利率债方面,从上周公布的5月PMI数据来看,随着疫情好转,大型企业在5月率先复工复产,景气度回升至扩展区间,而中小企业景气度虽然有所改善但仍低于荣枯线。整体来看5月产需两端及服务业商务活动明显好转,建筑业仍是稳增长的重要抓手,4月经济底部基本确定,但5月经济数据可能仍然偏弱。另外从价格指数来看,虽然上游原材料价格环比大幅下降,企业成本压力减弱,但出厂价格指数再次回落至50以内,也反映消费需求依然低迷。随着疫情好转,市场开始交易经济复苏,不过在宽松的流动性以及机构配置需求的支持下,债市预计短期难以转熊,仍将以区间震荡为主。
资金面,本周央行公开市场将有400亿元逆回购到期,关注地方债发行对资金面造成的扰动。央行宽货币态度依旧,流动性整体压力不大。
信用债方面,监管频繁出台宽信用、稳增长政策,信用环境尚维持宽松。
(1)城投债方面,依然是市场主要的挖掘方向,近期西南某地级市主平台银行债务重整,对城投债市场影响较小,当前城投择券思路如下:①优先配置经济财力较好区县级公益性中小平台;②投资政策支持明确、偿债压力高峰进入尾声或已度过、市场信心好转的区域;③有强担保的弱资质平台;④区县平台新发收紧后,强区县的转售机会。
(2)产业债方面,地产行业景气度有望触底回升,对于财务和经营稳健的地方国有或头部优质民营房企,可在控制估值风险的前提下考虑介入;煤炭,上周价格仍保持高位,目前煤企基本面不弱、融资能力较强,因此对于债务结构改善的煤企可以考虑继续拉长久期;其他困境反转板块,如火电,5月1日起各省份正逐步落地执行火电用煤100%长协覆盖,火电盈利情况和稳定性有望得到改善。
转债方面,上周权益市场上涨,转股溢价率走低,转债整体表现不如正股。俄乌冲突+疫情扰动+美联储加息利空因素基本充分落地,权益市场最悲观的时候预计已经过去,从边际变化看,疫情好转、人民币贬值引发的外资流出告一段落带来了这一轮反弹,但随着点位反弹至疫情前水平,在内外环境仍不乐观下,可能仍会在底部盘整一段时间,反转需要等待上市公司盈利见底并加以政策催化,而疫情加速了宏观经济基本面见底,我们预判上市公司盈利三季度迎来拐点,到时投资机会将进一步明确。当前主要方向一是沿着疫情修复,复工复产的制造业先行,然后消费回暖逐渐可以期待,二是观察上游商品价格见顶节奏,前期受成本压制明显,盈利可能逐步改善的中下游行业值得关注。
一
上周市场回顾
1. 资金面
上周资金价格在跨月前小幅抬升,随后重新回到低位徘徊。具体来看上周资金市场情况,(1)央行公开市场共有500亿元逆回购到期,累计进行了400亿元逆回购操作,实现净回笼100亿元;(2)资金价格方面,截至上周四收盘,DR001和R001收益率均上行6BP,分别收于1.42%和1.48%;DR007收益率下行4BP至1.63%,R007收益率下行21BP至1.67%;Shibor3M收益率小幅上行1BP,收于2.00%。
上周共发行同业存单294只,发行规模约1772.60亿元,净融资降幅缩窄至-228.10亿元。截至上周四,AAA存单收益率均呈上升趋势,其中1M存单收益率上升16BP;3M和6M存单收益率上升1BP,分别收于1.82%和1.99%;9M和1Y期存单收益率分别上行5BP和6BP,收于2.24%和2.33%。

2. 利率债
一级市场:上周利率债(含地方债)发行规模大幅下降,仅发行2750.10亿元,净融资额则下降至542.10亿元。上周的投标情绪尚可,地方债超额认购倍数大都在20-30倍上下;政金债的投标情绪一般,3Y和0.25Y国开债超额认购倍数超过6倍,10Y政金债品种投标倍数在2-3倍左右;上周没有国债发行。


二级市场:上海、北京疫情好转,叠加多地推出地产、消费刺激政策,市场期待经济加速修复,空头情绪再占上风,中长端利率债收益率持续上行。具体来看,截至上周五收盘,(1)国债方面,1Y-3Y国债收益率上行3BP;5-7Y国债收益率上行7BP;10Y国债收益率上行5BP,收于2.76%。(2)政金债方面,1Y期国开债收益率持平,1Y口行债收益率上行3BP,1Y农发债收益率下行6BP;3Y-7Y期政金债收益率上行4-9BP不等;10Y政金债收益率上行5-6BP不等,10Y国开债收于2.99%;(3)期限利差方面,上周长端利率债收益率上行幅度较大,利差曲线呈现熊陡,国债10-1Y利差走阔2BP至80BP,国开10-1Y利差走阔6BP至103BP。

3. 信用债
一级市场:上周信用债共发行2862.85亿元,信用债净融资为378.78亿元,环比均有所下降。结构上,产业债净融资42.13亿元,城投债净融资336.65亿元。

上周取消发行2只债券,取消发行规模合计18亿元。

二级市场:收益率以上行为主,具体分析如下。
城投债方面,除3年期AA2级和3年AA-级收益率小幅下行,其他期限和品种收益率全部上行,1年期上行幅度最大,其中1年期AA级和AA2级品种收益率上行幅度最大(10.78bp);从区域利差来看,城投区域分化明显,广东、安徽、湖北、四川、江苏、上海等12个省份信用利差处于历史前1/5分位数;而天津、青海、辽宁、云南等8个省份信用利差均处于历史后1/5分位数。

产业债方面,收益率全部上行,3年期品种上行最多,其中3年期AAA收益率上行幅度最大(10.53bp);从行业利差来看,纺织服装、轻工制造、农林牧渔和家用电器的行业信用利差显著偏高,且处于历史高分位数。

4. 可转债
股票方面:上周股指整体上涨,上证指数上涨2.08%,深证成指上涨3.88%,创业板指上涨5.8%;行业板块方面,电气设备、汽车和计算机表现较好,上涨6%-8%,采掘、房地产以及建筑等行业表现较弱,下跌2%-4%。


转债方面:上周中证转债指数整体上涨0.3%,转债整体估值有所下行,转债转股溢价率整体下行3.44%,纯债溢价率上行0.13%,分类别看,各平价转债的转股溢价率涨跌互现。

5. 重点讯息
(1)全国财政支持稳住经济大盘工作视频会议在京召开。会议要求,把稳增长放在更加突出位置,着力保市场主体以保就业保民生,努力确保二季度经济实现合理增长和失业率尽快下降。进一步加大增值税留抵退税政策力度,加快退税进度,确保上半年基本完成小型企业以及制造业等行业中型、大型企业存量留抵税额集中退还。加快财政支出进度,加紧推进已纳入年度计划安排的重大工程建设。加快地方政府专项债券发行使用并扩大支持范围,确保今年新增专项债券在6月底前基本发行完毕,力争在8月底前基本使用完毕。积极扩大有效投资,进一步加快下达预算;促进居民消费持续恢复,进一步提振汽车消费。
(2)国家发改委等九部门印发《“十四五”可再生能源发展规划》提出,“十四五”期间,我国将加快黄河几字弯、冀北、松辽等七大陆上新能源基地,藏东南、川滇黔桂两大水风光综合基地和海上风电基地集群建设,可再生能源在一次能源消费增量中的占比超过50%,可再生能源发电量在全社会用电量增量中的占比超过50%,风电和太阳能发电量实现翻倍。到2025年,可再生能源消费总量达到10亿吨标准煤左右,可再生能源年发电量达到3.3万亿千瓦时左右,地热能供暖、生物质供热、生物质燃料、太阳能热利用等非电利用规模达到6000万吨标准煤以上。
(3)国务院公布扎实稳住经济一揽子政策措施,提出六个方面33项具体政策措施及分工安排。国务院要求,进一步加大增值税留抵退税政策力度,预计新增留抵退税1420亿元。今年出台的各项留抵退税政策新增退税总额达到约1.64万亿元。加快财政支出进度,加快地方政府专项债券发行使用并扩大支持范围,加大政府采购支持中小企业力度,将面向小微企业价格扣除比例由6%-10%提高至10%-20%。继续推动实际贷款利率稳中有降。提高资本市场融资效率,科学合理把握首次公开发行股票并上市(IPO)和再融资常态化;支持内地企业在香港上市,依法依规推进符合条件平台企业赴境外上市。加快推动交通基础设施投资,支持中国国家铁路集团有限公司发行3000亿元铁路建设债券。稳定和扩大民间投资,出台支持平台经济规范健康发展具体措施,稳定增加汽车、家电等大宗消费。
(4)央行、外汇局解读国务院常务会部署扎实稳住经济的有关金融政策表示,央行、外汇局将靠前发力,适当加力,继续加大稳健货币政策实施力度,营造良好的货币金融环境,与有关部门齐心协力,推动一揽子政策尽快落地,发挥好稳住经济和助企纾困的政策效应,保持经济运行在合理区间。一是增强信贷总量增长的稳定性;二是突出金融支持重点领域,从二季度起央行通过普惠小微贷款支持工具提供的激励资金比例由1%提高到2%;三是继续推动降低企业融资成本。
(5)银保监会发布《关于进一步做好受疫情影响困难行业企业等金融服务的通知》,主要从加大信贷支持力度、做好接续融资安排、适当提高不良贷款容忍度、持续提升服务效率、创新信贷服务模式、完善考核激励机制、发挥保险保障功能等多个方面,对进一步做好受疫情影响暂时遇困行业企业等的金融服务提出了工作要求。要努力实现住宿、餐饮、零售、文化、旅游、交通运输等受疫情影响严重行业信贷余额持续稳步增长,鼓励银行机构在受疫情影响的特定时间内适当提高相关行业不良贷款容忍度。
(6)美国总统拜登与美联储主席鲍威尔及财政部长耶伦会面,讨论通货膨胀问题。美国总统拜登表示,需要从复苏过渡到稳定增长,并强调尊重美联储的独立性,还指出美联储将使用其政策工具来应对物价上涨。耶伦承认,她在2021年预测通货膨胀率上升不会构成持续麻烦时做出了错误的判断,称没有完全理解当时的情况,而且还出现了一些意料之外的冲击使情况更加恶化。耶伦还警告,不能排除进一步的通胀冲击。
(7)欧洲央行管委维勒鲁瓦:需要欧洲央行实现政策正常化;未来两年欧洲经济增长将放缓;通胀过高问题在欧洲各国太普遍;欧洲央行的政策正常化并不等于收紧货币政策;欧洲财政政策受到疫情债务的制约。
(8)受俄乌冲突影响,能源市场持续动荡,食品价格飙升,欧元区5月CPI初值同比上涨8.1%,再创新高;能源价格同比上涨39.2%,是推升通胀主因。
(9)法国央行行长维勒鲁瓦表示,5月份通胀数据证实对增长预期,以及货币政策逐步正常化必要性;政策正常化要渐进、坚决,加息应会提高法国银行盈利能力,增加净利润率。
(10)日本央行行长黑田东彦表示,将继续坚持强有力的货币宽松政策,以帮助经济从低迷状态中复苏。对任何有关退出刺激政策的建议不予理会。黑田东彦指出,不认为日本央行的货币政策是日元迅速走软的原因,日元正从近期“不受欢迎”的迅速走软中恢复稳定,目前形势正在改善。
(11)加拿大央行宣布加息50个基点至1.5%,旨在努力控制通胀,避免价格上涨失控。这也是该行连续第二次加息50个基点。加拿大央行同时警告称,如有必要将采取“更强有力”措施,以实现2%通胀目标。
二
策略展望
宏观及利率债方面,从上周公布的5月PMI数据来看,随着疫情好转,大型企业在5月率先复工复产,景气度回升至扩展区间,而中小企业景气度虽然有所改善但仍低于荣枯线。整体来看5月产需两端及服务业商务活动明显好转,建筑业仍是稳增长的重要抓手,4月经济底部基本确定,但5月经济数据可能仍然偏弱。另外从价格指数来看,虽然上游原材料价格环比大幅下降,企业成本压力减弱,但出厂价格指数再次回落至50以内,也反映消费需求依然低迷。随着疫情好转,市场开始交易经济复苏,不过在宽松的流动性以及机构配置需求的支持下,债市预计短期难以转熊,仍将以区间震荡为主。
资金面,本周央行公开市场将有400亿元逆回购到期,关注地方债发行对资金面造成的扰动。央行宽货币态度依旧,流动性整体压力不大。
信用债方面,监管频繁出台宽信用、稳增长政策,信用环境尚维持宽松。(1)城投债方面,依然是市场主要的挖掘方向,近期西南某地级市主平台银行债务重整,对城投债市场影响较小,当前城投择券思路如下:①优先配置经济财力较好区县级公益性中小平台;②投资政策支持明确、偿债压力高峰进入尾声或已度过、市场信心好转的区域;③有强担保的弱资质平台;④区县平台新发收紧后,强区县的转售机会。(2)产业债方面,地产行业景气度有望触底回升,对于财务和经营稳健的地方国有或头部优质民营房企,可在控制估值风险的前提下考虑介入;煤炭,上周价格仍保持高位,目前煤企基本面不弱、融资能力较强,因此对于债务结构改善的煤企可以考虑继续拉长久期;其他困境反转板块,如火电,5月1日起各省份正逐步落地执行火电用煤100%长协覆盖,火电盈利情况和稳定性有望得到改善。
转债方面,上周权益市场上涨,转股溢价率走低,转债整体表现不如正股。俄乌冲突+疫情扰动+美联储加息利空因素基本充分落地,权益市场最悲观的时候预计已经过去,从边际变化看,疫情好转、人民币贬值引发的外资流出告一段落带来了这一轮反弹,但随着点位反弹至疫情前水平,在内外环境仍不乐观下,可能仍会在底部盘整一段时间,反转需要等待上市公司盈利见底并加以政策催化,而疫情加速了宏观经济基本面见底,我们预判上市公司盈利三季度迎来拐点,到时投资机会将进一步明确。当前主要方向一是沿着疫情修复,复工复产的制造业先行,然后消费回暖逐渐可以期待,二是观察上游商品价格见顶节奏,前期受成本压制明显,盈利可能逐步改善的中下游行业值得关注。
附件1:本周将公布的重要数据提示

附件2:本周利率债发行预告


附件3:本周信用债发行预告


风险提示:本报告中的信息均来源于已公开的资料,我公司对这些信息的准确性及完整性不作任何保证。在任何情况下,报告中的信息或所表达的意见并不构成证券买卖的出价或询价。在任何情况下,我公司不就报告中的任何投资做出任何形式担保。本报告内容和意见不构成投资建议,仅供参考,使用前请核实,风险自行承担。基金管理人承诺以诚实信用、勤勉尽职的原则管理和运用基金资产,但不保证基金本金不受损失,不保证基金一定盈利,也不保证最低收益。投资人购买基金时应详细阅读基金的基金合同、招募说明书和基金产品资料概要等法律文件,充分认识基金的风险收益特征和产品特性,并根据自身的投资目标、投资期限、投资经验、资产状况等因素选择与自身风险承受能力相匹配的产品。基金产品存在收益波动风险,基金管理人管理的其他基金的业绩和其投资管理人员取得的过往业绩并不预示其未来表现,也不构成基金业绩表现的保证。














