内容概要
一、上周市场回顾
资金面:上周各期限资金利率虽然小幅上升,但总体仍在低位徘徊,DR007利率继续大幅偏离政策利率。具体来看上周资金市场情况:(1)央行公开市场共有500亿元逆回购到期,累计进行了500亿元逆回购操作,完全对冲到期量;
(2)资金价格方面,截至上周五收盘,DR001和R001收益率均上涨5BP,分别收于1.38%和1.44%;DR007收益率上行13BP至1.71%,R007收益率上行14BP至1.82%。上周共发行同业存单540只,发行规模约5173.30亿元,净融资大幅下降至-1187亿元。截至上周五,AAA存单收益率小幅上升,其中1M存单收益率上升5BP;3M存单收益率上升5BP至1.81%;6M存单收益率收平于1.98%;9M和1Y期存单收益率分别上行2BP和1BP,收于2.18%和2.29%。
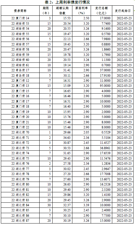
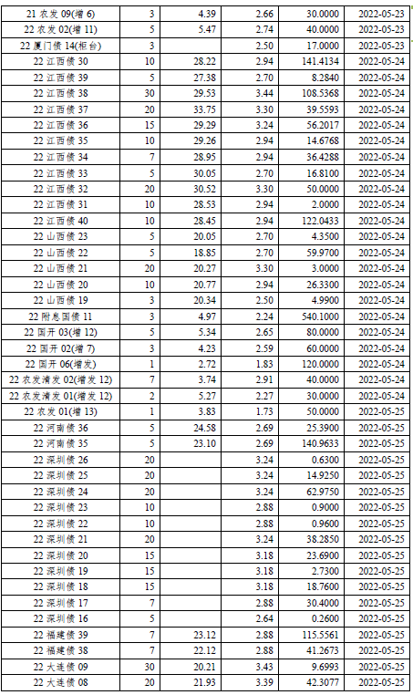
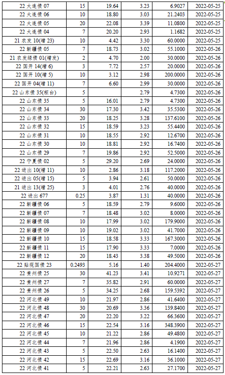
利率债:一级方面,上周利率债(含地方债)发行规模小幅上升230.73亿元至5966.43亿元,净融资额则下降160亿元至2977.42亿元。上周地方债的投标情绪较好,部分湖北债、贵州债、江西债、河南债的超额认购倍数均超过30倍;政金债的投标情绪尚可,3Y和7Y国开债超额认购倍数分别达到7.72和6.60,其余期限的政金债超额认购倍数集中在3-5倍之间;国债投标热情较高,3Y国债投标倍数4.97倍,0.25Y国债的投标倍数达到5.16倍。
二级方面,“稳住经济大盘工作会议”确认二季度经济下行压力,同时宽信用政策并没有太超预期,市场多头情绪升温,长端利率突破下行。具体来看,截至上周五收盘:
(1)国债方面,1Y国债收益率下行4BP;3-5Y国债收益率下行6-7BP不等;7-10Y国债收益率下行9BP,10Y国债收于2.70%。
(2)政金债方面,1Y期国开债和农发债收益率下行7BP,1Y口行债收益率下行4BP;3Y、7Y期政金债收益率下行4-6BP不等;5Y国开债收益率下行8BP;10Y口行债和农发债收益率下行5BP,10Y国开债收益率下行7BP至2.93%;
(3)期限利差方面,上周国债长端利率债下行幅度较大,利差曲线呈现牛平,国债10-1Y利差收窄5BP至79BP,国开10-1Y利差持平于98BP。
信用债:一级方面,年报更新后信用债发行规模逐步上升,上周信用债共发行3809.13亿元,信用债净融资为615.1亿元,环比均大幅上升;结构上,产业债净融资485.56亿元,城投债净融资129.54亿元;上周取消发行2只债券,规模合计40亿元。
二级方面,收益率以下行为主,中长期收益率下行幅度更大;结构上,城投债收益率全部下行,5年期品种表现最好,其中5年期AA品种收益率下行幅度最大(8.67bp);产业债除1年期品种以上行为主,其他期限和品种全部下行,具体看,1年期AAA-收益率上行幅度最大(4.16bp),3年期AA品种收益率下行幅度最大(7.05bp)。
可转债:上周股指整体下跌,上证指数下跌0.52%,深证成指下跌2.28%,创业板指下跌3.9%;行业板块方面,采掘、交运表现较好,上涨4%-6%,电气设备、家电以及电子等行业表现较弱,下跌2%-4%。上周中证转债指数整体下跌0.2%,转债整体估值有所上行,转债转股溢价率整体上行0.34%,纯债溢价率下行0.89%,分类别看,各平价转债的转股溢价率涨跌互现。
二、策略展望
宏观及利率债方面,上周“稳住经济大盘工作会议”核心内容有三点,一是讲困难,“3月份尤其是4月份以来,一些经济指标明显走低,困难在某些方面和一定程度上比2020年疫情严重冲击时还大”;二是提要求,“把稳增长放在更突出位置,着力保市场主体保就业保民生,保护经济韧性,努力确保二季度经济合理增长和失业率尽快下降,保持经济运行在合理区间”;三是抓落实,“国务院26日将向12个省派出督查组,对政策落实和配套开展专项督查。对各地二季度经济主要指标,将由国家统计部门依法依规实事求是分省公布,国务院对相关工作情况予以通报”。本次会议稳增长、保就业目的明确,但增量政策有限,延续了5月23日国常会提出的6方面33项措施。目前疫情影响在逐步缓解,经济最困难阶段或已过去,但5月整体经济数据仍不乐观,宽信用政策效果有待证实,在此期间,宽松的货币政策对债市仍有支撑。目前短端品种拥挤,长端品种大幅下行后不宜过分追高,建议维持中性久期、中高杠杆。
资金面,本周央行公开市场将有500亿元逆回购到期,分别每天到期100亿元。央行宽货币态度依旧,跨月流动性压力不大。
信用债方面,监管频繁出台宽信用、稳增长政策,预计二十大前信用环境维持宽松。
(1)城投债方面,依然是市场主要的挖掘方向,上周西南某地级市主平台银行债务重整,但对城投债市场影响较小,当前城投择券思路如下:①优先配置经济财力较好区县级公益性中小平台;②投资政策支持明确、偿债压力高峰进入尾声或已度过、市场信心好转的区域;③有强担保的弱资质平台;④区县平台新发收紧后,强区县的转售机会。
(2)产业债方面,房地产,虽然上周某房企美元债首次展期,但是目前房地产政策底已现,地产行业景气度有望触底回升,对于财务和经营稳健的地方国有或头部优质民营房企,可在控制估值风险的前提下考虑介入;煤炭,上周价格仍保持高位,目前煤企基本面不弱、融资能力较强,因此对于债务结构改善的煤企可以考虑继续拉长久期;其他困境反转板块,如火电,5月1日起煤炭长协要求100%保量保价供应,各省份正逐步落地执行,火电盈利情况和稳定性有望得到改善。
转债方面,上周权益市场下跌,转股溢价率窄幅波动,转债震荡走低,各平价下溢价率涨跌互现。疫情加速了宏观经济基本面见底,上市公司盈利预计三季度迎来拐点,美联储加息人民币贬值+俄乌冲突下的能源痛症高企+疫情仍然压制风险偏好,三个担忧至少有一个缓解,股市可能才会有一波反弹,目前盈利预期拐点将至,市场情绪逐步回暖,策略可以适当积极,最有可能看到的是疫情缓解,可以从这个方向去布局,同时美联储加息+俄乌冲突常态化,预计上游商品价格已经见顶,上游景气度见顶,下游盈利恢复链在下半年预计将逐步实现,后续行业结构上会更偏向中下游。
01
上周市场回顾
1. 资金面
上周各期限资金利率虽然小幅上升,但总体仍在低位徘徊,DR007利率继续大幅偏离政策利率。具体来看上周资金市场情况,(1)央行公开市场共有500亿元逆回购到期,累计进行了500亿元逆回购操作,完全对冲到期量;(2)资金价格方面,截至上周五收盘,DR001和R001收益率均上涨5BP,分别收于1.38%和1.44%;DR007收益率上行13BP至1.71%,R007收益率上行14BP至1.82%;Shibor3M收益率小幅下降5BP,收于2.00%。
上周共发行同业存单540只,发行规模约5173.30亿元,净融资大幅下降至-1187亿元。截至上周五,AAA存单收益率小幅上升,其中1M存单收益率上升5BP;3M存单收益率上升5BP至1.81%;6M存单收益率收平于1.98%;9M和1Y期存单收益率分别上行2BP和1BP,收于2.18%和2.29%。

2. 利率债
一级市场:上周利率债(含地方债)发行规模小幅上升230.73亿元至5966.43亿元,净融资额则下降160亿元至2977.42亿元。上周地方债的投标情绪较好,部分湖北债、贵州债、江西债、河南债的超额认购倍数均超过30倍;政金债的投标情绪尚可,3Y和7Y国开债超额认购倍数分别达到7.72和6.60,其余期限的政金债超额认购倍数集中在3-5倍之间;国债投标热情较高,3Y国债投标倍数4.97倍,0.25Y国债的投标倍数达到5.16倍。




二级市场:“稳住经济大盘工作会议”确认二季度经济下行压力,同时宽信用政策并没有太超预期,市场多头情绪升温,长端利率突破下行。具体来看,截至上周五收盘,(1)国债方面,1Y国债收益率下行4BP;3-5Y国债收益率下行6-7BP不等;7-10Y国债收益率下行9BP,10Y国债收于2.70%。(2)政金债方面,1Y期国开债和农发债收益率下行7BP,1Y口行债收益率下行4BP;3Y、7Y期政金债收益率下行4-6BP不等;5Y国开债收益率下行8BP;10Y口行债和农发债收益率下行5BP,10Y国开债收益率下行7BP至2.93%;(3)期限利差方面,上周国债长端利率债下行幅度较大,利差曲线呈现牛平,国债10-1Y利差收窄5BP至79BP,国开10-1Y利差持平于98BP。

3. 信用债
一级市场:年报后发行规模逐步上升,上周信用债共发行3809.13亿元,信用债净融资为615.1亿元,环比均大幅上升,结构上,产业债净融资485.56亿元,城投债净融资129.54亿元。

上周取消发行2只债券,取消发行规模合计40亿元。

二级市场:收益率以下行为主,具体分析如下。
城投债方面,收益率全部下行,5年期品种表现最好,其中5年期AA品种收益率下行幅度最大(8.67bp);从区域利差来看,城投区域分化明显,广东、安徽、湖北、四川、江苏、上海等12个省份信用利差处于历史前1/5分位数;而天津、青海、辽宁、云南等8个省份信用利差均处于历史后1/5分位数。

产业债方面,除1年期品种以上行为主,其他期限和品种全部下行,具体看,1年期AAA-收益率上行幅度最大(4.16bp),3年期AA品种收益率下行幅度最大(7.05bp);从行业利差来看,纺织服装、轻工制造、农林牧渔和家用电器的行业信用利差显著偏高,且处于历史高分位数。

4. 可转债
股票方面:上周股指整体下跌,上证指数下跌0.52%,深证成指下跌2.28%,创业板指下跌3.9%;行业板块方面,采掘、交运表现较好,上涨4%-6%,电气设备、家电以及电子等行业表现较弱,下跌2%-4%。


转债方面:上周中证转债指数整体下跌0.2%,转债整体估值有所上行,转债转股溢价率整体上行0.34%,纯债溢价率下行0.89%,分类别看,各平价转债的转股溢价率涨跌互现。

5. 重点讯息
(1)国务院常务会议进一步部署稳经济一揽子措施,涉及财政、金融、消费、投资等共6方面33项措施,努力推动经济回归正常轨道、确保运行在合理区间。财政及相关政策方面,包括在更多行业实施存量和增量全额留抵退税,增加退税1400多亿元;将中小微企业个体工商户和5个特困行业缓缴养老等社保费政策延至年底,并扩围至其他特困行业,预计今年缓缴3200亿元。金融政策方面,包括今年普惠小微贷款支持工具额度和支持比例增加一倍等。稳产业链供应链方面,优化复工达产政策,取消来自疫情低风险地区通行限制,有序增加国内国际客运航班。促消费和有效投资方面,阶段性减征部分乘用车购置税600亿元,因城施策支持刚性和改善性住房需求,新开工一批水利特别是大型引水灌溉、交通、老旧小区改造、地下综合管廊等项目。保能源安全方面,调整煤矿核增产能政策,再开工一批能源项目。另外,做好失业保障、低保和困难群众救助等工作,视情形及时启动社会救助和保障标准与物价上涨挂钩联动机制。
(2)央行、银保监会召开主要金融机构货币信贷形势分析会,研究部署加大信贷投放力度。会议指出,受国内外超预期因素影响,近期经济新的下行压力进一步加大。金融系统要加大实体经济支持力度,全力以赴稳住经济基本盘。要用好用足各种政策工具,从扩增量、稳存量两方面发力,以适度的信贷增长支持经济高质量发展。要聚焦重点区域、重点领域和重点行业,围绕中小微企业、绿色发展、科技创新、能源保供、水利基建等,加大金融支持力度。要落实政策要求,保持房地产信贷平稳增长,支持中小微企业、个体工商户、货车司机贷款和受疫情影响严重的个人住房、消费贷款等实施延期还本付息。要加快已授信贷款的放款进度。要坚持市场化原则,平衡好信贷适度增长和防范金融风险之间的关系,提升金融支持实体经济的可持续性。
(3)央行召开全系统货币信贷形势分析会,部署落实稳定信贷增长工作措施。会议要求,尽快落实国务院常务会议提出的各项金融政策,将今年普惠小微贷款支持工具额度和支持比例增加一倍,引导和支持地方法人金融机构加大贷款投放,优化信贷结构,降低融资成本,进一步加大对中小微企业和个体工商户的支持力度,稳市场主体保就业,与金融机构共同担负起金融支持稳住宏观经济大盘的重任。在落实好已出台政策的同时,抓紧谋划和推出增量政策措施,引导金融机构全力以赴加大贷款投放力度,增强信贷总量增长的稳定性,积极挖掘新的项目储备,聚焦重点区域、重点领域和薄弱环节,加快对接新的有效信贷需求。
(4)央行等三部门统筹同步推进银行间和交易所债券市场对外开放,支持境外机构投资者直接或通过互联互通投资交易所债券市场,自主选择交易场所。坚持穿透式数据和信息收集,探索建立健全兼容多级托管的包容性制度安排。投资银行间债券市场的境外机构投资者可以根据实际需要,自主选择债券登记结算机构或者境内托管银行提供债券托管服务。央行和外汇局将及时发布境外机构投资者投资中国债券市场资金管理规定,统一境外机构投资者资金跨境管理政策,进一步便利境外机构投资者投资中国债券市场。
(5)国务院召开全国稳住经济大盘电视电话会议,国务院总理李克强作重要讲话表示,3月份尤其是4月份以来,一些经济指标明显走低,困难在某些方面和一定程度上比2020年疫情严重冲击时还大。发展是解决我国一切问题的基础和关键。要全面贯彻新发展理念,高效统筹疫情防控和经济社会发展,坚定信心,迎难而上,把稳增长放在更突出位置,着力保市场主体保就业保民生,保护经济韧性,努力确保二季度经济合理增长和失业率尽快下降,保持经济运行在合理区间。李克强总理表示,要确保中央经济工作会议和政府工作报告确定的政策上半年基本实施完成,国务院常务会确定的稳经济一揽子政策5月底前都要出台实施细则。要在防控好疫情同时完成经济社会发展任务,防止单打一、一刀切。各地在助企纾困上政策能出尽出。对各类市场主体一视同仁,用市场化办法、改革举措解难题。
(6)美联储会议纪要显示,多数与会者认为,在接下来的两次会议上,每次升息50个基点可能是合适的。与会者一致认为,委员会应通过提高联邦基金利率目标范围和缩小美联储资产负债表规模,迅速将货币政策立场转向中性。
(7)欧洲央行官网发表该行行长拉加德题为《欧元区货币政策正常化》的文章,其中明确提出欧洲央行将在今年7月举行的货币政策会议上决定加息。拉加德指出,欧元区现在所面对的经济和金融环境已发生重大变化,一方面能源价格高涨造成了高通胀,同时消费和投资的低迷也使欧元区经济复苏前景不确定。在这种复杂的背景下,欧洲央行货币政策需要保持渐进性、可选择性和灵活性。
(8)欧洲央行4月货币政策会议纪要显示,委员们普遍对高通胀数据表示担忧,唯一的主要争论似乎是应该以多快的速度和多大的幅度收紧政策。自上次会议以来,几乎所有公开发言的欧洲央行政策制定者现在都支持7月份加息,这将是欧洲央行10多年来的首次加息。
(9)英国央行行长贝利表示,如果数据证明有必要加息,英国央行准备再次加息,政策制定者需要确保通胀得到控制。英国劳动力市场吃紧,而需求没有快速增长。
(10)新西兰联储宣布加息50个基点至2%,为2021年10月以来连续第五次加息,也是连续第二次加息50个基点。新西兰联储表示,力求将通胀水平控制在1%至3%的目标区间。
(11)韩国央行将基准利率上调25个基点至1.75%,符合市场预期。这是继1月和4月分别加息25个基点后韩国央行今年第三次加息,也是自去年8月以来第五次加息。韩国央行上调今年通胀预期,从2月预测的3.1%升至4.5%,全年GDP增速预期则由3%下调至2.7%。韩国央行行长表示,年内加息至2.5%的市场预期合理。
(12)俄罗斯央行宣布,将基准利率下调300个基点至11%,下调幅度大于此前市场预期的250个基点,因数据显示近几周俄物价上涨节奏明显放缓,以及卢布汇率回升令通胀压力缓解。展望未来,俄罗斯央行称将考虑在未来几次会议上进一步降息。
02
策略展望
宏观及利率债方面,上周“稳住经济大盘工作会议”核心内容有三点,一是讲困难,“3月份尤其是4月份以来,一些经济指标明显走低,困难在某些方面和一定程度上比2020年疫情严重冲击时还大”;二是提要求,“把稳增长放在更突出位置,着力保市场主体保就业保民生,保护经济韧性,努力确保二季度经济合理增长和失业率尽快下降,保持经济运行在合理区间”;三是抓落实,“国务院26日将向12个省派出督查组,对政策落实和配套开展专项督查。对各地二季度经济主要指标,将由国家统计部门依法依规实事求是分省公布,国务院对相关工作情况予以通报”。本次会议稳增长、保就业目的明确,但增量政策有限,延续了5月23日国常会提出的6方面33项措施。目前疫情影响在逐步缓解,经济最困难阶段或已过去,但5月整体经济数据仍不乐观,宽信用政策效果有待证实,在此期间,宽松的货币政策对债市仍有支撑。目前短端品种拥挤,长端品种大幅下行后不宜过分追高,建议维持中性久期、中高杠杆。
资金面,本周央行公开市场将有500亿元逆回购到期,分别每天到期100亿元。央行宽货币态度依旧,跨月流动性压力不大。
信用债方面,监管频繁出台宽信用、稳增长政策,预计二十大前信用环境维持宽松。(1)城投债方面,依然是市场主要的挖掘方向,上周西南某地级市主平台银行债务重整,但对城投债市场影响较小,当前城投择券思路如下:①优先配置经济财力较好区县级公益性中小平台;②投资政策支持明确、偿债压力高峰进入尾声或已度过、市场信心好转的区域;③有强担保的弱资质平台;④区县平台新发收紧后,强区县的转售机会。(2)产业债方面,房地产,虽然上周某房企美元债首次展期,但是目前房地产政策底已现,地产行业景气度有望触底回升,对于财务和经营稳健的地方国有或头部优质民营房企,可在控制估值风险的前提下考虑介入;煤炭,上周价格仍保持高位,目前煤企基本面不弱、融资能力较强,因此对于债务结构改善的煤企可以考虑继续拉长久期;其他困境反转板块,如火电,5月1日起煤炭长协要求100%保量保价供应,各省份正逐步落地执行,火电盈利情况和稳定性有望得到改善。
转债方面,上周权益市场下跌,转股溢价率窄幅波动,转债震荡走低,各平价下溢价率涨跌互现。疫情加速了宏观经济基本面见底,上市公司盈利预计三季度迎来拐点,美联储加息人民币贬值+俄乌冲突下的能源痛症高企+疫情仍然压制风险偏好,三个担忧至少有一个缓解,股市可能才会有一波反弹,目前盈利预期拐点将至,市场情绪逐步回暖,策略可以适当积极,最有可能看到的是疫情缓解,可以从这个方向去布局,同时美联储加息+俄乌冲突常态化,预计上游商品价格已经见顶,上游景气度见顶,下游盈利恢复链在下半年预计将逐步实现,后续行业结构上会更偏向中下游。
附件1:本周将公布的重要数据提示

附件2:本周利率债发行预告


附件3:本周信用债发行预告


风险提示:本报告中的信息均来源于已公开的资料,我公司对这些信息的准确性及完整性不作任何保证。在任何情况下,报告中的信息或所表达的意见并不构成证券买卖的出价或询价。在任何情况下,我公司不就报告中的任何投资做出任何形式担保。本报告内容和意见不构成投资建议,仅供参考,使用前请核实,风险自行承担。基金管理人承诺以诚实信用、勤勉尽职的原则管理和运用基金资产,但不保证基金本金不受损失,不保证基金一定盈利,也不保证最低收益。投资人购买基金时应详细阅读基金的基金合同、招募说明书和基金产品资料概要等法律文件,充分认识基金的风险收益特征和产品特性,并根据自身的投资目标、投资期限、投资经验、资产状况等因素选择与自身风险承受能力相匹配的产品。基金产品存在收益波动风险,基金管理人管理的其他基金的业绩和其投资管理人员取得的过往业绩并不预示其未来表现,也不构成基金业绩表现的保证。












